← 제품 목록으로
산업용
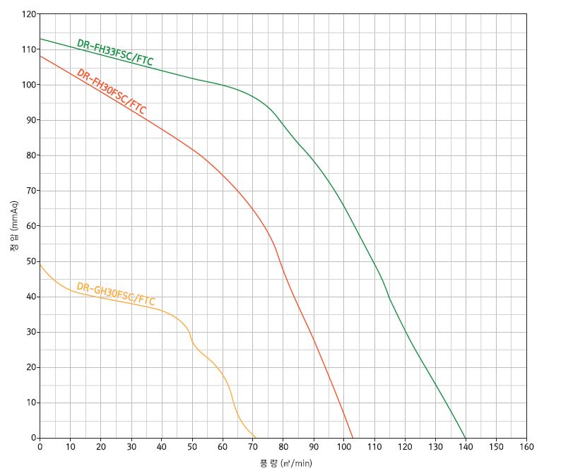
고정압 시로코팬
고정압 시로코팬
제품 특징
- •저소음형 팬 및 케이싱 설계로 소음 극소화
- •제품 소형화 경량화를 통한 취급 및 설치 용이
- •동일 제품 대비 높은 풍량과 정압 실현
- •설치한 상태로 모터와 팬의 분리가 가능하여 점검 및 보수 용이
- •알루미늄 다이캐스팅 모터 케이싱으로 모터의 열배출 극대화
용도
- ✓공조설비용 : 빌딩, 아파트, 지하상가, 공장, 창고 등의 일반환기, 공기조화, 냉난방 송풍, 급배기용
- ✓각종 기기조립 및 기기 냉각용 : 변압기, 건조기, 정류기 등





